01、数据简介
对于上市公司融资约束的衡量,通常采用单一指标与约束指数指标这两种方式。其中,单一指标一般涵盖公司规模、负债率、股利分派率以及产权性质等方面;而约束指数则包括KZ指数、SA指数、WW指数、FC指数等。相较于单一指标,利用这些约束指数指标对企业融资约束程度进行综合衡量,结果更为精准且具有权威性。
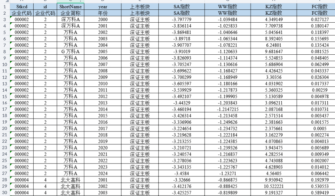
FC指数:数值越大,企业面临的融资约束越大。
WW指数:数值越大,企业面临的融资约束越大。
KZ指数:数值越大,企业面临的融资约束越大。
SA指数:数值越小,企业面临的融资约束越大。
SA指数_abs:SA指数的绝对值,数值越大,企业面临的融资约束越大
本数据包含计算公式、参考文献、最终结果(Excel和Dta)。
数据名称:上市公司-融资约束KZ、SA、WW、FC指数
数据年份:2000-2024年
02、相关数据
企业代码 企业代码 企业简称 年份 上市板块 SA指数 WW指数 KZ指数 FC指数 SA指数的绝对值 行业代码 行业名称 沪深A股 北京A股 金融业 制造业 STPT
03、数据截图


